Beranda
/ Limit Tak Hingga Bentuk 3 Akar - Limit Tak Hingga Pengertian Fungsi Rumus Dan Contoh Soal - Penyelesaian limit tak hingga bentuk akar sebenarnya menggunakan cara menyelesaikan limit dengan kali akar sekawan itu kalau cara manualnya.
Limit Tak Hingga Bentuk 3 Akar - Limit Tak Hingga Pengertian Fungsi Rumus Dan Contoh Soal - Penyelesaian limit tak hingga bentuk akar sebenarnya menggunakan cara menyelesaikan limit dengan kali akar sekawan itu kalau cara manualnya.
Limit Tak Hingga Bentuk 3 Akar - Limit Tak Hingga Pengertian Fungsi Rumus Dan Contoh Soal - Penyelesaian limit tak hingga bentuk akar sebenarnya menggunakan cara menyelesaikan limit dengan kali akar sekawan itu kalau cara manualnya.. X 2 7 kalo diturunkan jadinya 2x 0 atau 2x saja. Penyelesaian soal limit secara runut akan memakan banyak waktu. Soal dan pembahasan limit tak hingga bentuk akar 1 3 posted june 19 2013 february 21 2020 rudolph lestrange berikut adalah 3 buah soal limit tak hingga yang jika disubtitusi langsung menghasilkan bentuk tak tentu. Thanks to chairani uni, yang udah memberikan soal unik ini. Cara mudah mengerjakan variasi limit takhingga bentuk akar tipe 3.sering muncul di un dan utbk sbmptn
Limit limit bentuk tak hingga. Limit tak hingga bentuk eksponen cara konsep contoh 8 no 2. Namun, kita dapat memanfaatkan bentuk aljabar berikut. Idealnya bentuk limit diatas bisa kita selesaikan dengan. Persamaan di bawah merupakan rumus cepat untuk mengerjakan limittak hingga.
Contoh Soal Limit Trigonometri Tak Hingga Bentuk Akar Kumpulan Contoh Surat Dan Soal Terlengkap from i2.wp.com Contoh menentukan nilai limit tak hingga menggunakan rumus cepat bentuk ii. Tentu saja penyelesaiannya bukan itu. Berikut ini merupakan soal tentang limit tak hingga. Hasil limitnya tak hingga suatu limit hasilnya tak hingga infty jika hasil limitnya semakin membesar menuju tak hingga bisanya. Apabila solusi limit bentuk irasional dengan menggunakan strategi substitusi langsung menghasilkan bentuk tak tentu, maka langkah selanjutnya kita menggunakan strategi mengalikan dengan bentuk sekawan, kemudian dilanjutkan dengan strategi membagi dengan pangkat tertinggi. Limit tak hingga bentuk eksponen cara konsep contoh 8 no 2. Trik superkilat dan logika praktis limit aljabar menuju tak hingga dengan mengalikan bentuk sekawan akar. Soal dan pembahasan limit tak hingga bentuk akar 1 3 posted june 19 2013 february 21 2020 rudolph lestrange berikut adalah 3 buah soal limit tak hingga yang jika disubtitusi langsung menghasilkan bentuk tak tentu.
Persamaan di bawah merupakan rumus cepat untuk mengerjakan limittak hingga.
Penyelesaian limit di tak hingga. Tentu saja penyelesaiannya bukan itu. Soal dan pembahasan limit tak hingga bentuk akar 1 3 posted june 19 2013 february 18 2020 rudolph lestrange berikut adalah 3 buah soal limit tak hingga yang jika disubtitusi langsung menghasilkan bentuk tak tentu. Limit tak hingga bentuk eksponen cara konsep contoh 8 no 2. Teorema limit tak hingga (∞) contoh soal dan pembahasan. L a t e x lim x →∼ a x 2 + b x + c − p x 2 + q x + r. Pembaca diharapkan sudah menguasai teori limit fungsi aljabar dan trigonometri. Menyelesaikan soal limit tak berhingga bentuk akar 3 baris menggunkan rumus cepat matematika sma. Setiap soal telah disertai pembahasan super lengkap yang disajikan secara rapi menggunakan latex. Sehingga, akan bermunculan ide baru untuk menemukan rumus trik cepat mengerjakan limit tak hingga. Mulai dari limit tak hingga bentuk akar 2 suku sampai limit tak hingga bentuk akar 3 suku. Melalui halaman ini, sobat idschool akan mempelajari tentang limit tak hingga dan cara menentukan nilai fungsi limitnya. Displaystyle limx to infty fracaxn 0 dengan a bilangan real dan n bilangan asli.
Menyelesaikan soal limit tak berhingga bentuk akar 3 baris menggunkan rumus cepat matematika sma. Kita tidak bisa menghilangkan bentuk akar dengan cara kali sekawan seperti halnya akar pangkat 2. Rumus trik cepat mengerjakan limit tak hingga yang ke dua dapat digunakan soal limit tak hingga bentuk akar di mana fungsi dalam akar merupakan persamaan kuadrat. Apabila solusi limit bentuk irasional dengan menggunakan strategi substitusi langsung menghasilkan bentuk tak tentu, maka langkah selanjutnya kita menggunakan strategi mengalikan dengan bentuk sekawan, kemudian dilanjutkan dengan strategi membagi dengan pangkat tertinggi. Jika kita substitusi akan diperoleh (bentuk tak tentu).
Limit Tak Hingga Fungsi Trigonometri Konsep Matematika Koma from 1.bp.blogspot.com Jika nilai f(x) dan g(x. Untuk soal limit fungsi trigonometri dipisahkan dalam postingan lain karena soalnya akan terlalu banyak bila ditumpuk menjadi satu. Persamaan di bawah merupakan rumus cepat untuk mengerjakan limittak hingga. Salah satunya adalah limit tak hingga yang akan dibahas pada artikel kali ini. Idealnya bentuk limit diatas bisa kita selesaikan dengan. Untuk menyelesaikan limit menuju tak hingga ( x → ∞ ), kita gunakan limit dasarnya yaitu : Penyelesaian limit tak hingga bentuk akar sebenarnya menggunakan cara menyelesaikan limit dengan kali akar sekawan itu kalau cara manualnya. Yuk, mari simak penjelasan berikut!
Namun, kita dapat memanfaatkan bentuk aljabar berikut.
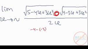
Cara cepat limit tak hingga bentuk 3 akar contoh 7. Mulai dari limit tak hingga bentuk akar 2 suku sampai limit tak hingga bentuk akar 3 suku. Cara cepat untuk menyelesaikan limit aljabar menuju tak hingga dengan mengalikan bentuk sekawan akar adalah membandingkan koefisien suku derajat dua dan suku derajat satu di dalam tanda akar. Kita tidak bisa menghilangkan bentuk akar dengan cara kali sekawan seperti halnya akar pangkat 2. Yuk, mari simak penjelasan berikut! Rumus trik cepat mengerjakan limit tak hingga yang ke dua dapat digunakan soal limit tak hingga bentuk akar di mana fungsi dalam akar merupakan persamaan kuadrat. Contoh soal limit tak hingga akar dan penyelesaiannya. Pada artikel kali ini, kita akan membahas cara menyelesaikan limit tak hingga pada bentuk akar yang di dalam akarnya berbentuk persamaan kuadrat. Jika nilai f(x) dan g(x. Cara menentukan nilai limit mendekati tak hingga akar pangkat tiga dengan perkalian sekawan dan menggunakan rumus yang mudah dimengerti. Lim x → ∞ a xn = 0. Bentuk limit tak hingga akar pangkat 3 yang akan kita bahas yaitu yang bentuknya sebagai berikut: Soal dan pembahasan limit tak hingga bentuk akar 1 3 posted june 19 2013 february 21 2020 rudolph lestrange berikut adalah 3 buah soal limit tak hingga yang jika disubtitusi langsung menghasilkan bentuk tak tentu.
Contoh berikutnya limit x menuju tak berhingga dalam bentuk fxgx. Berikut diberikan soal sma tentang limit tentukan nilai dari credit: Contoh menentukan nilai limit tak hingga menggunakan rumus cepat bentuk ii. Kita tidak bisa menghilangkan bentuk akar dengan cara kali sekawan seperti halnya akar pangkat 2. Bentuk limit tak hingga akar pangkat 3 yang akan kita bahas yaitu yang bentuknya sebagai berikut:
Contoh Soal Limit Trigonometri Tak Hingga Bentuk Akar Kumpulan Contoh Surat Dan Soal Terlengkap from i2.wp.com Contoh berikutnya limit x menuju tak berhingga dalam bentuk fxgx. Untuk menyelesaikan limit menuju tak hingga ( x → ∞ ), kita gunakan limit dasarnya yaitu : Apabila di katakan, x menuju tak hingga, ditulis x → ∞, artinya nilai x semakin besar atau bertambah besar tanpa batas. Cara menyelesaikan limit tak hingga bentuk akar. Berikut ini merupakan soal tentang limit tak hingga. Penyelesaian soal limit secara runut akan memakan banyak waktu. Sehingga, akan bermunculan ide baru untuk menemukan rumus trik cepat mengerjakan limit tak hingga. Mulai dari limit tak hingga bentuk akar 2 suku sampai limit tak hingga bentuk akar 3 suku.
L a t e x lim x →∼ a x 2 + b x + c − p x 2 + q x + r.
Soal dan pembahasan limit tak hingga bentuk akar 1 3 posted june 19 2013 february 21 2020 rudolph lestrange berikut adalah 3 buah soal limit tak hingga yang jika disubtitusi langsung menghasilkan bentuk tak tentu. Setiap soal telah disertai pembahasan super lengkap yang disajikan secara rapi menggunakan latex. Soal dan pembahasan limit tak hingga bentuk akar 1 3 posted june 19 2013 february 21 2020 rudolph lestrange berikut adalah 3 buah soal limit tak hingga yang jika disubtitusi langsung menghasilkan bentuk tak tentu. Berikut ini merupakan soal tentang limit tak hingga. Penyelesaian soal limit secara runut akan memakan banyak waktu. Persamaan di bawah merupakan rumus cepat untuk mengerjakan limittak hingga. Berikut pengamatan nilai fungsi f. Penyelesaian limit di tak hingga. Bentuk limit tak hingga akar pangkat 3 yang akan kita bahas yaitu yang bentuknya sebagai berikut: Cara cepat limit tak hingga bentuk 3 akar contoh 7. Yuk, mari simak penjelasan berikut! Oke itulah pembahasan limit fungsi tak hingga bentuk pecahan, berikutnya kita akan belajar limit tak hingga fungsi aljabar bentuk akar. Teorema limit tak hingga (∞) contoh soal dan pembahasan.
Berbagi
Posting Komentar
untuk "Limit Tak Hingga Bentuk 3 Akar - Limit Tak Hingga Pengertian Fungsi Rumus Dan Contoh Soal - Penyelesaian limit tak hingga bentuk akar sebenarnya menggunakan cara menyelesaikan limit dengan kali akar sekawan itu kalau cara manualnya."
Posting Komentar untuk "Limit Tak Hingga Bentuk 3 Akar - Limit Tak Hingga Pengertian Fungsi Rumus Dan Contoh Soal - Penyelesaian limit tak hingga bentuk akar sebenarnya menggunakan cara menyelesaikan limit dengan kali akar sekawan itu kalau cara manualnya."